The Cost of Caring: Gendered Health and Labour Market Effects of Grandparenthood

While the effects of the transition to parenthood are well-researched, less is known about how the transition to grandparenthood affects health and labour market outcomes. Using comprehensive Norwegian register data covering the entire population born between 1950 and 1960, we examine the effects of firstborn grandchildren born during 2007-2018. Employing event-study models with person-year records, we compare grandparents to not-yet grandparents. Our findings reveal a sharp increase in the likelihood of respiratory infections during the first two years of grandparenthood, with infections increasing by 56% for women and 31% for men. Additionally, grandparenthood modestly reduces the likelihood of doctor's visits related to mental disorders (4.5%) and cardiovascular health (3.3%). Grandmothers also see a decline in musculoskeletal-related visits (3.8%). These health-related changes coincide with notable gendered effects on labour market participation. Ten years after the birth of their first grandchild, employed women are 12% less likely to hold full-time positions compared to a 2% reduction for men. Overall, our findings demonstrate that the transition to grandparenthood significantly reshapes health and economic outcomes for both women and men. The larger effects observed for women likely reflect their greater involvement in informal childcare provision. Our results underscore the intersection of health, family dynamics, and gendered labour market behaviours in late adulthood.

Pre-print available via SSRN.

Line graphs showing the effects of grandparenthood on respiratory infections, mental health, mental disorders, cardiovascular, muscular, and endocrine conditions relative to a grandchild's birth, with data for before and after events.

Careers on Hold? Earnings, Sick Leave, and Mental Health after Assisted Reproduction

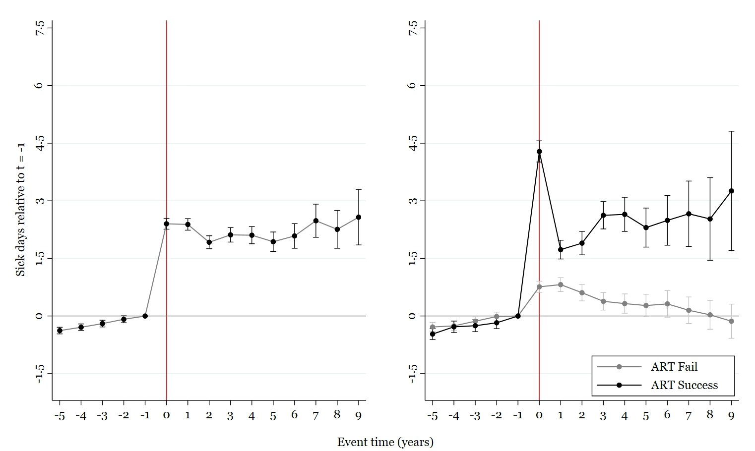
Over the past 30 years, the use of assisted reproductive technology (ART) has become increasingly common. While ART patients are also becoming more diverse and ART is recognised as inherently time-consuming, few studies have investigated its impact on outcomes beyond treatment safety. This study uses population-wide register data covering all individuals who initiated ART treatment in Norwegian public hospitals between 2008 and 2024. We investigate how ART use is related to different health and labour market outcomes for both the woman undergoing treatment and her partner. We find that starting treatment is associated with a substantial decline in women’s earnings, a large increase in physician-certified sickness absence, and a change in the likelihood of mental health problems. While part of these effects reflects childbearing itself, we also document significant changes among ART-treated women who have not had children (yet or ever). We find fewer ART effects among partners. Nonetheless, when stratifying by subsequent live birth, we document contrasting post-treatment earnings patterns: the classical “fatherhood premium” appears among partners in successful couples, whereas earnings growth slows among partners in couples without a live birth. Disentangling the consequences of ART from those of underlying infertility is inherently difficult; however, we observe gradients by the number of treatment cycles consistent with treatment-related burdens beyond infertility itself. Our findings have important implications for understanding how the growing use of ART may affect treated couples' labour market participation.

Draft available upon request.

Parenthood and Mental Health Throughout the Life Course: A Total Population Study

Past studies exploring the link between parenthood and mental health have not considered the entire life course. This study investigates the relationship between parenthood and mental health in an entire population, using comprehensive register data on all Norwegian-born individuals aged 31–80 from 2006 to 2019 (N=2,234,087). We analysed the association between parenthood and a range of mental health outcomes, including diagnosed mental disorders and physician-reported symptoms, while exploring variations by age, gender, and education. We used logistic regression models for population-wide analyses and conditional logistic models for sibling- and twin-comparisons to explore within-family variations. Overall, parenthood was associated with a lower risk of diagnosed mental disorders, such as depression and anxiety, with the protective association persisting across most of adulthood. Gendered patterns were observed with respect to symptoms: compared to the childless, fathers experienced a lower risk of both disorders and symptoms, while mothers had a slightly higher risk of symptoms, including stress and depressive feelings. The mental health disparity between parents and childless individuals was also particularly pronounced among those with lower educational attainment. Our findings underscore parenthood’s significant role in shaping mental health inequalities and emphasise its varying importance across demographic and socioeconomic groups.

An earlier version of this paper is available via medRxiv.

Graphs showing mental health data by age, gender, and parenthood status, including trends in disorder prevalence and symptom odds ratios.